Официальное опубликование правовых актов
ОФИЦИАЛЬНОЕ ОПУБЛИКОВАНИЕ
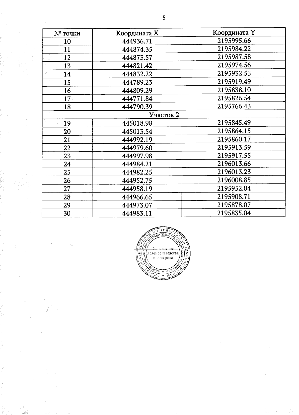
Постановление Правительства Удмуртской Республики от 21.01.2026 № 30
"Об установлении зон охраны объекта культурного наследия регионального значения "Храмовый комплекс Казанской иконы Божией Матери с прилегающей территорией" и утверждении требований к градостроительным регламентам в границах территорий данных зон"
Номер опубликования: 1800202601270007
Дата опубликования: 27.01.2026
Страница №7 из 10:
Увеличить