Официальное опубликование правовых актов
ОФИЦИАЛЬНОЕ ОПУБЛИКОВАНИЕ
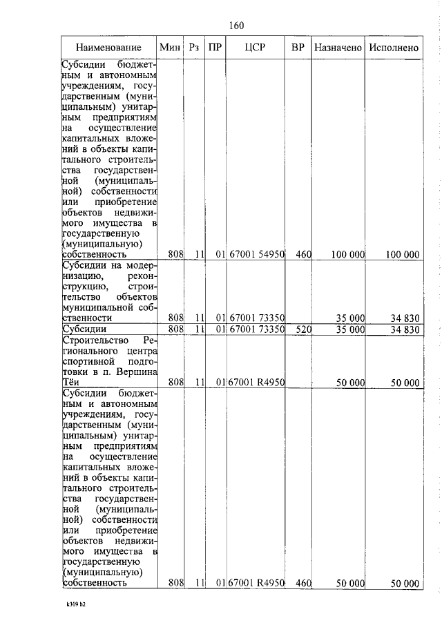
Закон Республики Хакасия от 13.06.2017 № 35-ЗРХ
"Об исполнении республиканского бюджета Республики Хакасия за 2016 год"
Номер опубликования: 1900201706140004
Дата опубликования: 14.06.2017
Страница №160 из 502:
Увеличить