Официальное опубликование правовых актов
ОФИЦИАЛЬНОЕ ОПУБЛИКОВАНИЕ
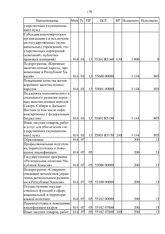
Постановление Правительства Республики Хакасия от 12.08.2022 № 485
"Об утверждении отчета об исполнении республиканского бюджета Республики Хакасия за первое полугодие 2022 года"
Номер опубликования: 1900202208160002
Дата опубликования: 16.08.2022
Страница №178 из 253:
Увеличить