Официальное опубликование правовых актов
ОФИЦИАЛЬНОЕ ОПУБЛИКОВАНИЕ
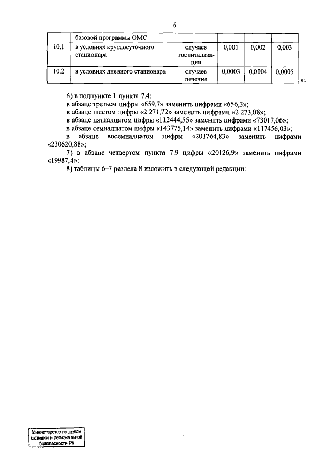
Постановление Правительства Республики Хакасия от 09.11.2022 № 672
"О внесении изменений в территориальную программу государственных гарантий бесплатного оказания гражданам медицинской помощи на территории Республики Хакасия на 2022 год и на плановый период 2023 и 2024 годов, утвержденную постановлением Правительства Республики Хакасия от 17.01.2022 № 11"
Номер опубликования: 1900202211100005
Дата опубликования: 10.11.2022
Страница №6 из 31:
Увеличить