Официальное опубликование правовых актов
ОФИЦИАЛЬНОЕ ОПУБЛИКОВАНИЕ
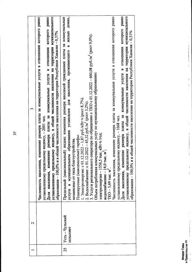
Постановление Главы Республики Хакасия - Председателя Правительства Республики Хакасия от 25.11.2022 № 84-ПП
"Об утверждении предельных (максимальных) индексов изменения размера вносимой гражданами платы за коммунальные услуги и обоснования величины установленных предельных (максимальных) индексов изменения размера вносимой гражданами платы за коммунальные услуги в муниципальных образованиях Республики Хакасия на декабрь 2022 года и на 2023 год и о признании утратившим силу постановления Главы Республики Хакасия - Председателя Правительства Республики Хакасия от 13.12.2021 № 113-ПП"
Номер опубликования: 1900202211250009
Дата опубликования: 25.11.2022
Страница №37 из 88:
Увеличить