Официальное опубликование правовых актов
ОФИЦИАЛЬНОЕ ОПУБЛИКОВАНИЕ
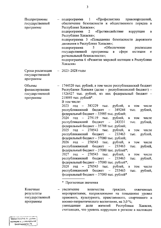
Постановление Правительства Республики Хакасия от 29.12.2022 № 863
"О внесении изменений в государственную программу Республики Хакасия "Обеспечение общественного порядка и противодействие преступности в Республике Хакасия", утвержденную постановлением Правительства Республики Хакасия от 01.11.2016 № 533"
Номер опубликования: 1900202301030012
Дата опубликования: 03.01.2023
Страница №3 из 47:
Увеличить