Официальное опубликование правовых актов
ОФИЦИАЛЬНОЕ ОПУБЛИКОВАНИЕ
Постановление Правительства Республики Хакасия от 30.01.2024 № 62
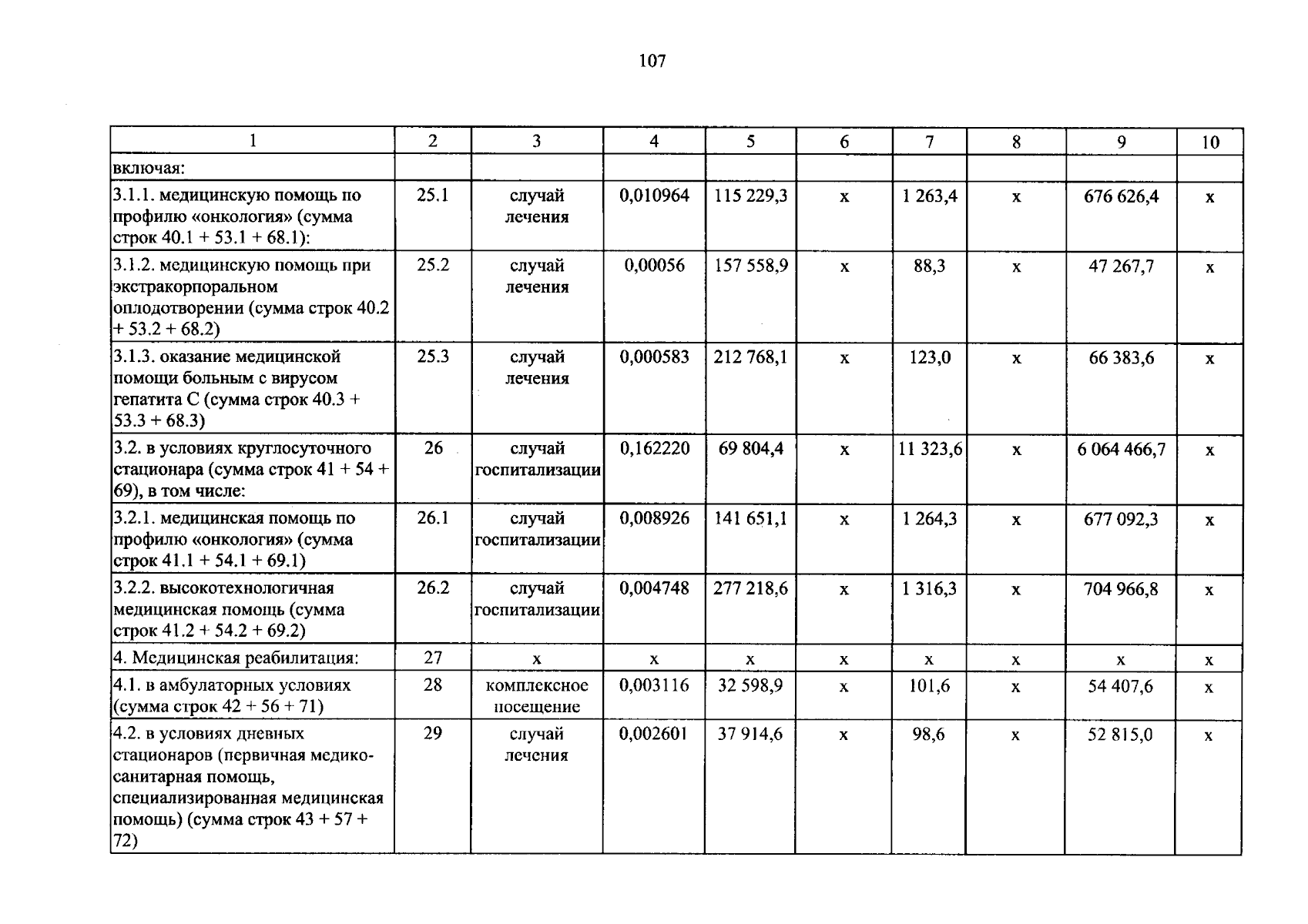
"О территориальной программе государственных гарантий бесплатного оказания гражданам медицинской помощи на территории Республики Хакасия на 2024 год и на плановый период 2025 и 2026 годов"
Номер опубликования: 1900202402010007
Дата опубликования: 01.02.2024
Страница №107 из 236:
Увеличить