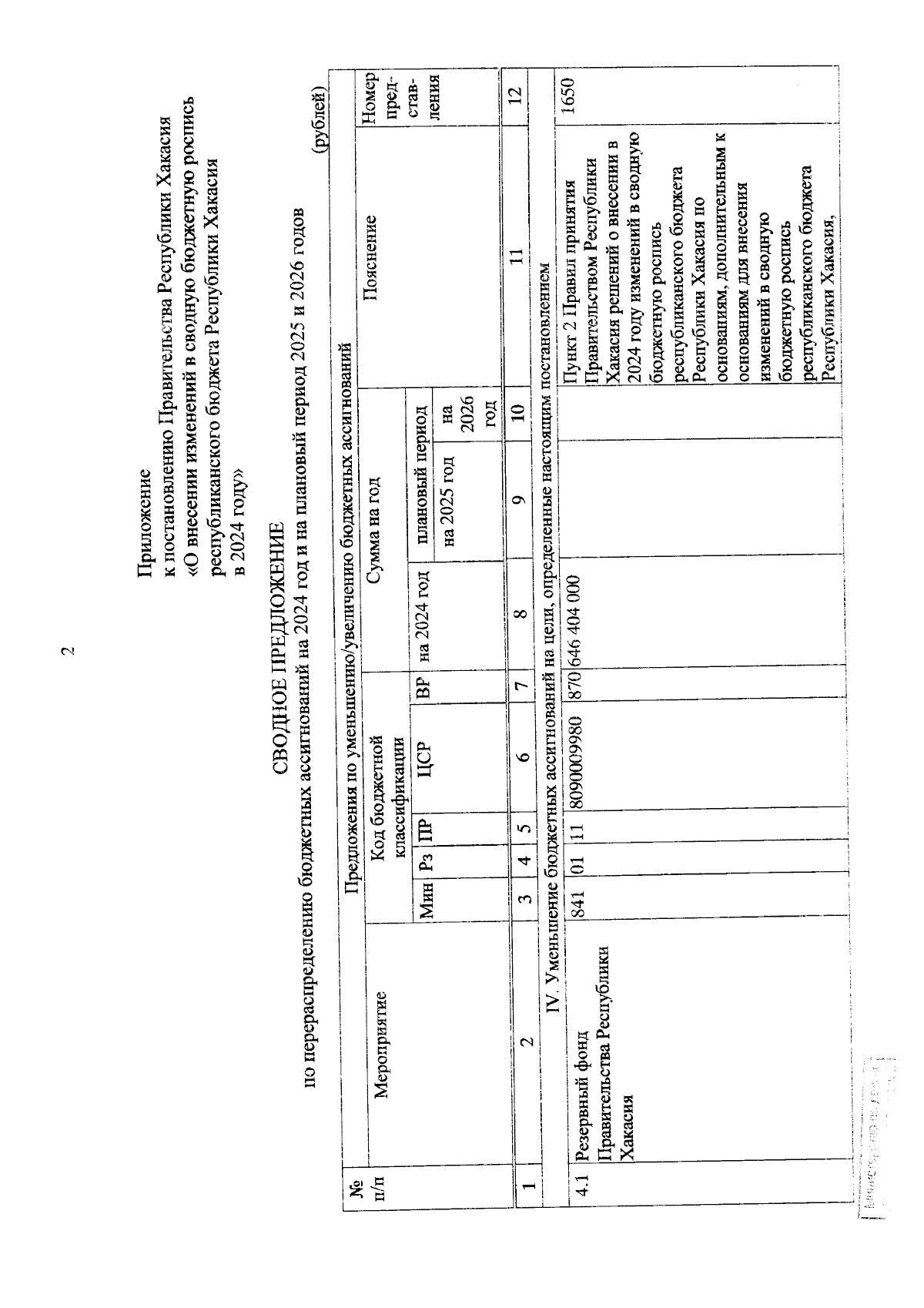
Постановление Правительства Республики Хакасия от 31.10.2024 № 655
"О внесении изменений в сводную бюджетную роспись республиканского бюджета Республики Хакасия в 2024 году"
"О внесении изменений в сводную бюджетную роспись республиканского бюджета Республики Хакасия в 2024 году"
Номер опубликования: 1900202411010006
Дата опубликования:
01.11.2024
