Официальное опубликование правовых актов
ОФИЦИАЛЬНОЕ ОПУБЛИКОВАНИЕ
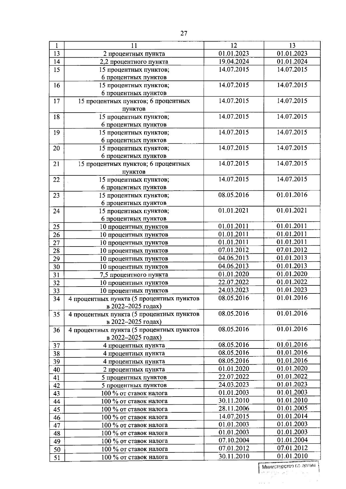
Постановление Правительства Республики Хакасия от 12.12.2025 № 654
"Об утверждении перечня налоговых расходов Республики Хакасия на 2026 год и на плановый период 2027 и 2028 годов"
Номер опубликования: 1900202512120007
Дата опубликования: 12.12.2025
Страница №27 из 38:
Увеличить