Официальное опубликование правовых актов
ОФИЦИАЛЬНОЕ ОПУБЛИКОВАНИЕ
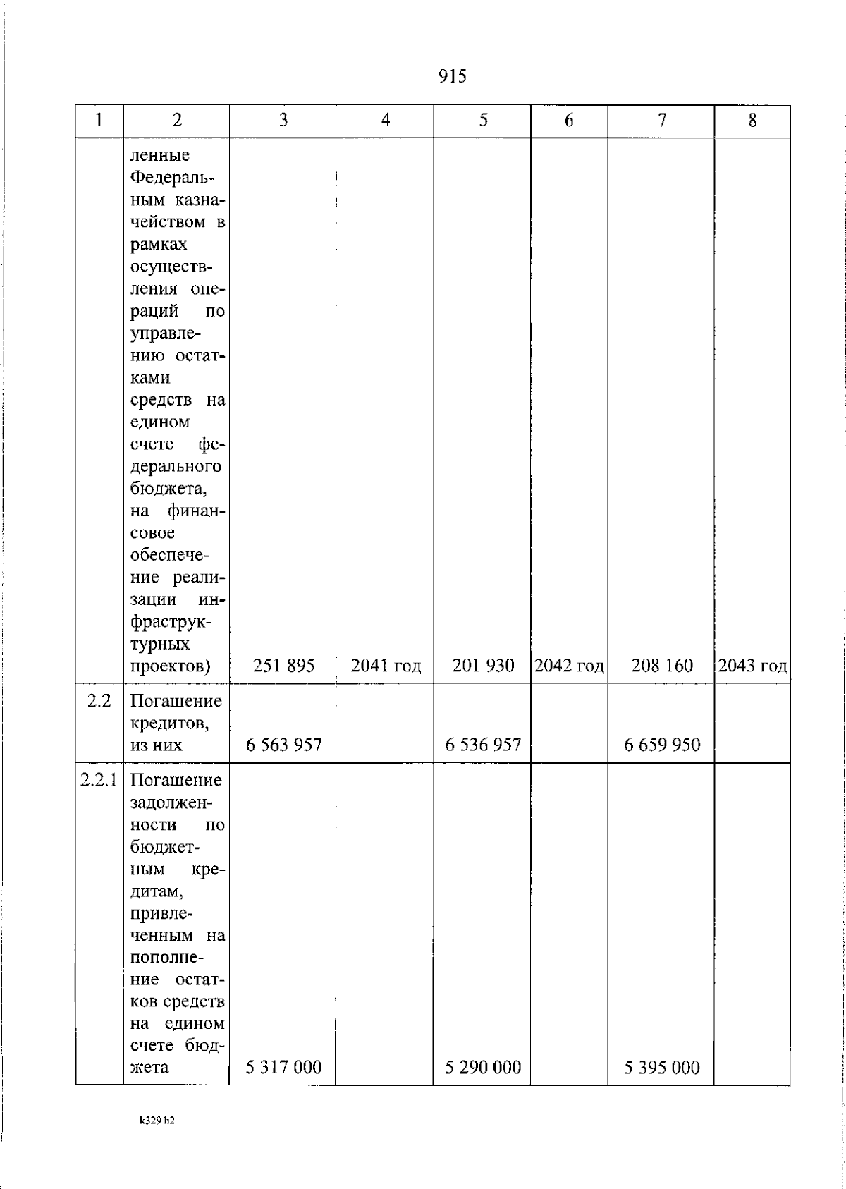
Закон Республики Хакасия от 18.12.2025 № 94-ЗРХ
"О республиканском бюджете Республики Хакасия на 2026 год и на плановый период 2027 и 2028 годов"
Номер опубликования: 1900202512190016
Дата опубликования: 19.12.2025
Страница №915 из 918:
Увеличить