Постановление Правительства Республики Хакасия от 24.12.2025 № 703
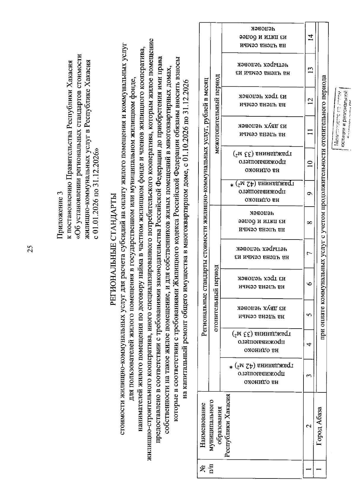
"Об установлении региональных стандартов стоимости жилищно-коммунальных услуг в Республике Хакасия с 01.01.2026 по 31.12.2026"
"Об установлении региональных стандартов стоимости жилищно-коммунальных услуг в Республике Хакасия с 01.01.2026 по 31.12.2026"
Номер опубликования: 1900202512260004
Дата опубликования:
26.12.2025
