Официальное опубликование правовых актов
ОФИЦИАЛЬНОЕ ОПУБЛИКОВАНИЕ
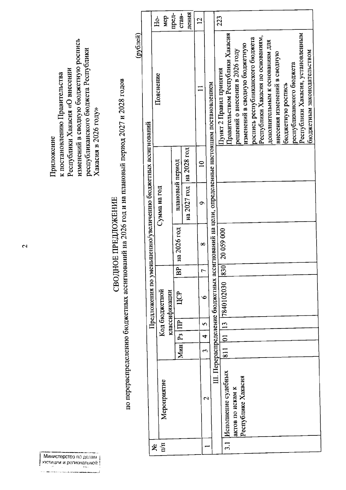
Постановление Правительства Республики Хакасия от 02.03.2026 № 92
"О внесении изменений в сводную бюджетную роспись республиканского бюджета Республики Хакасия в 2026 году"
Номер опубликования: 1900202603030001
Дата опубликования: 03.03.2026
Страница №2 из 4:
Увеличить