Официальное опубликование правовых актов
ОФИЦИАЛЬНОЕ ОПУБЛИКОВАНИЕ
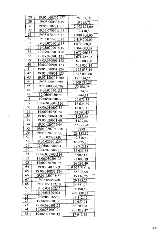
Приказ Министерства имущественных и земельных отношений Республики Хакасия от 29.10.2019 № 020-182-п
"Об утверждении результатов определения кадастровой стоимости земельных участков категории земель водного фонда, земель лесного фонда и земель особо охраняемых территорий и объектов, расположенных на территории Республики Хакасия"
(Зарегистрирован 12.11.2019 № 405)
Номер опубликования: 1901201911130001
Дата опубликования: 13.11.2019
Страница №29 из 34:
Увеличить