Официальное опубликование правовых актов
ОФИЦИАЛЬНОЕ ОПУБЛИКОВАНИЕ
Приказ Министерства природных ресурсов и экологии Республики Хакасия от 29.01.2026 № 010-20-пр
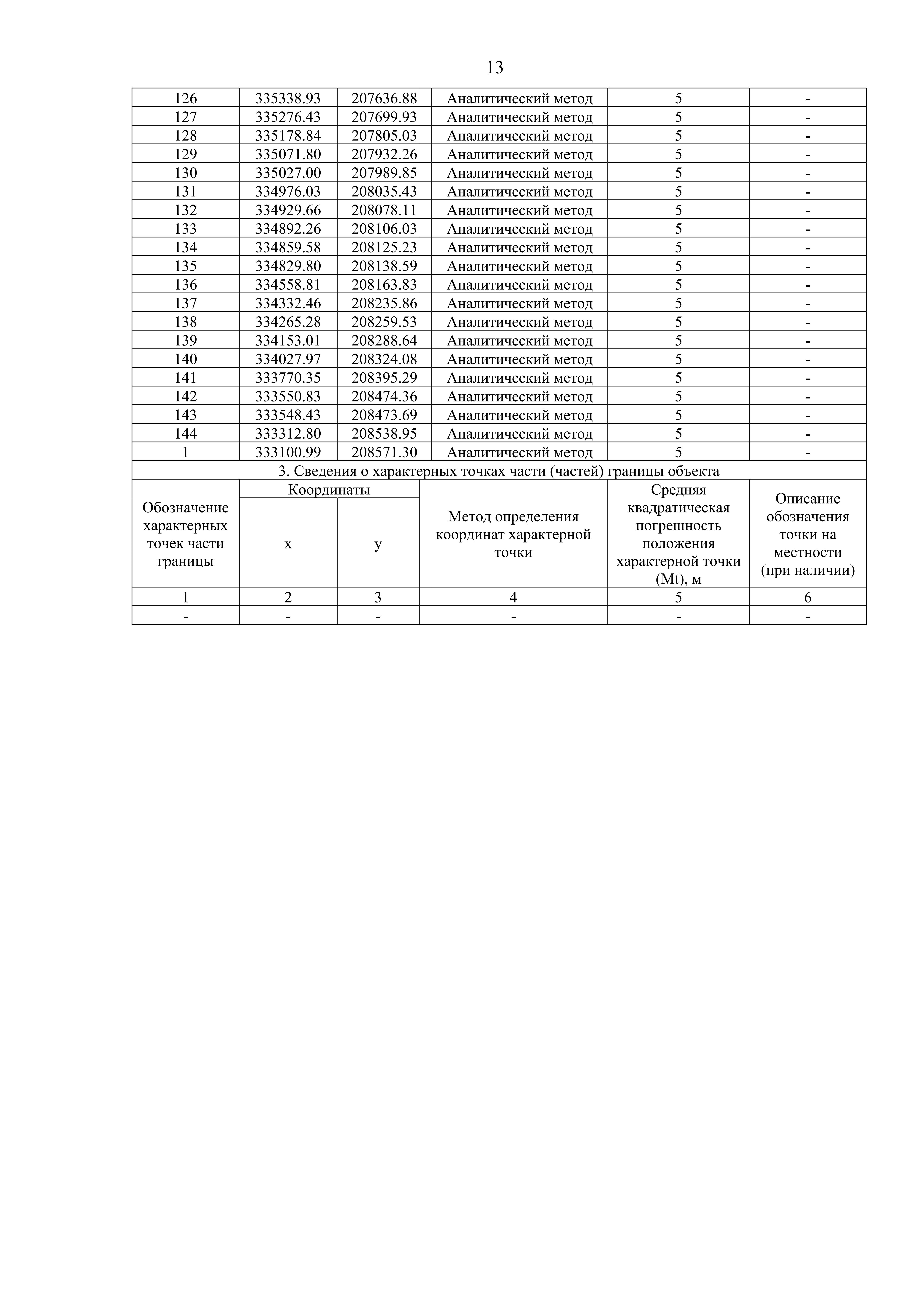
"Об установлении зоны санитарной охраны водозабора питьевого и хозяйственно-бытового водоснабжения рп. Майна, расположенного по адресу: Республика Хакасия, г. Саяногорск, рп. Майна, ул. Береговая, 1а, фильтровальной станции, расположенной по адресу: Республика Хакасия, г. Саяногорск, рп. Майна, ул. Рабовича, 4, напорных резервуаров, расположенных по адресу: Республика Хакасия, г. Саяногорск, рп. Майна, ул. Репина, стр. 2В"
(Зарегистрирован 25.02.2026 № 53)
Номер опубликования: 1901202603020002
Дата опубликования: 02.03.2026
Страница №13 из 15: