Официальное опубликование правовых актов
ОФИЦИАЛЬНОЕ ОПУБЛИКОВАНИЕ
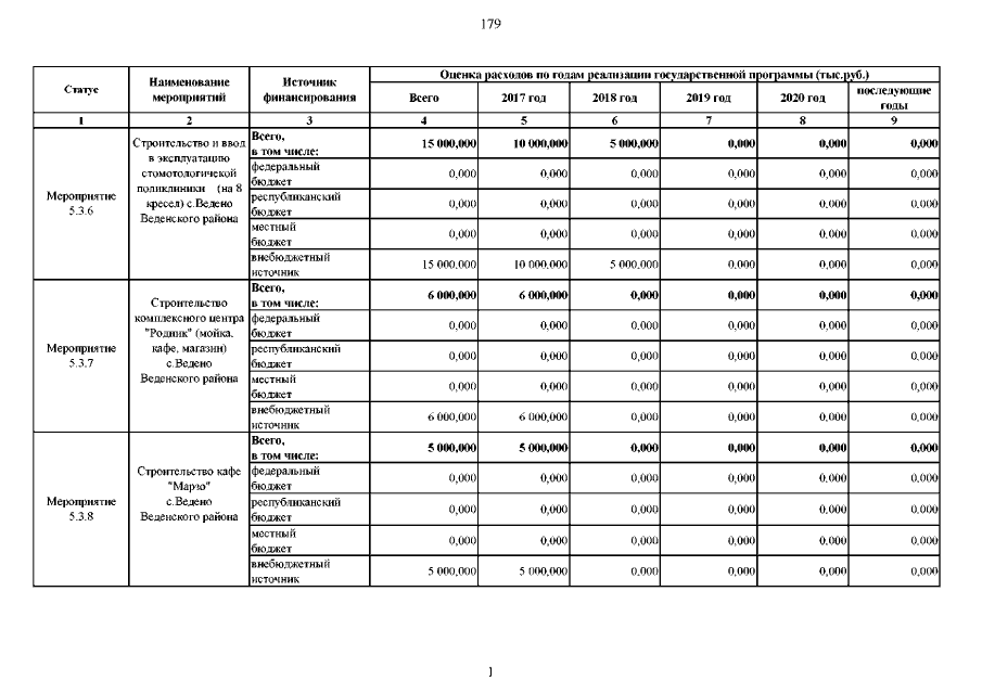
Постановление Правительства Чеченской Республики от 04.04.2017 № 77
"Об утверждении программы "Социально-экономическое развитие горных территорий (Веденского, Итум-Калинского, Ножай-Юртовского, Шатойского, Шаройского муниципальных районов) Чеченской Республики (на 2017-2020 и последующие годы)"
Номер опубликования: 2000201704100002
Дата опубликования: 10.04.2017
Страница №179 из 258:
Увеличить