Официальное опубликование правовых актов
ОФИЦИАЛЬНОЕ ОПУБЛИКОВАНИЕ
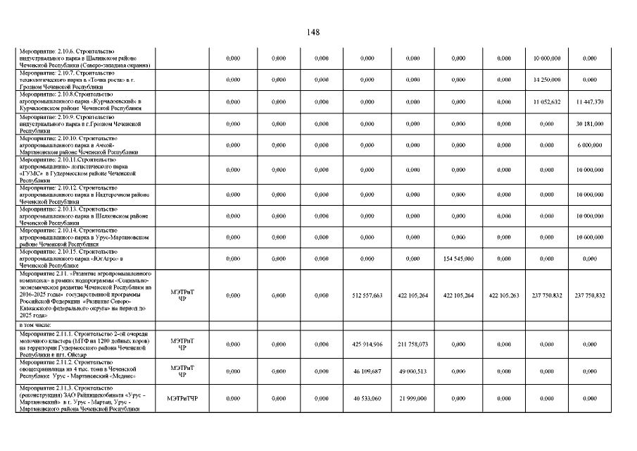
Постановление Правительства Чеченской Республики от 10.12.2018 № 280
"О внесении изменений в постановление Правительства Чеченской Республики от 19 декабря 2013 года № 330"
Номер опубликования: 2000201812190028
Дата опубликования: 19.12.2018
Страница №148 из 188:
Увеличить