Официальное опубликование правовых актов
ОФИЦИАЛЬНОЕ ОПУБЛИКОВАНИЕ
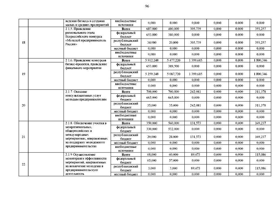
Постановление Правительства Чеченской Республики от 09.09.2019 № 166
"О внесении изменений в постановление Правительства Чеченской Республики от 7 февраля 2017 года № 17"
Номер опубликования: 2000201909170014
Дата опубликования: 17.09.2019
Страница №96 из 110:
Увеличить