Официальное опубликование правовых актов
ОФИЦИАЛЬНОЕ ОПУБЛИКОВАНИЕ
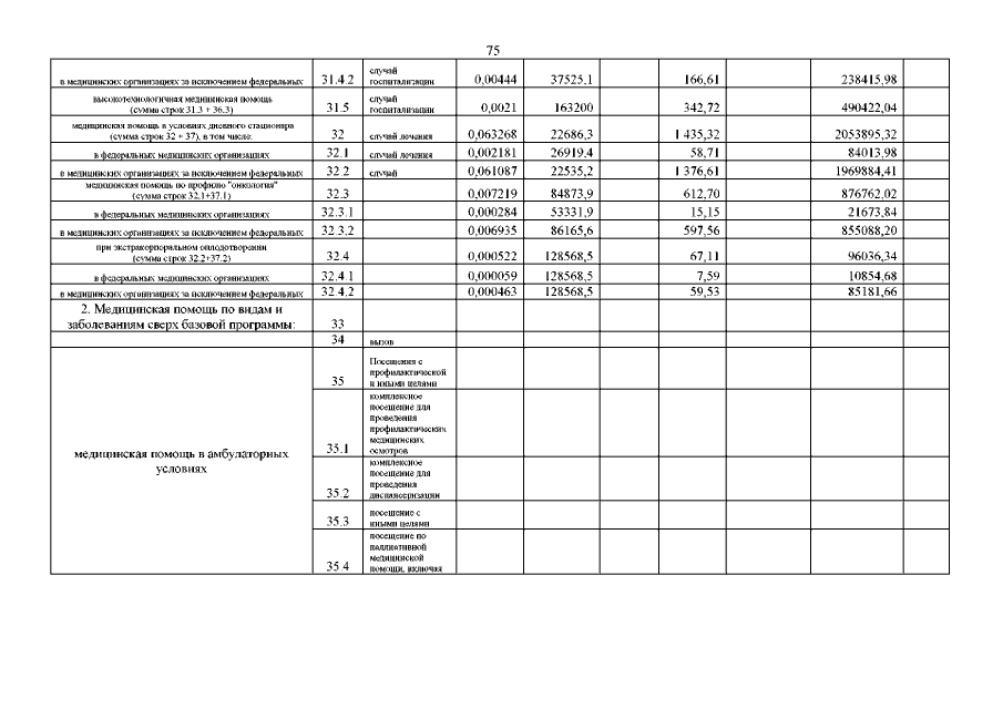
Постановление Правительства Чеченской Республики от 15.12.2020 № 381
"Об утверждении территориальной программы государственных гарантий бесплатного оказания гражданам медицинской помощи в Чеченской Республике на 2021 год и на плановый период 2022 и 2023 годов"
Номер опубликования: 2000202012210011
Дата опубликования: 21.12.2020
Страница №75 из 491:
Увеличить