Официальное опубликование правовых актов
ОФИЦИАЛЬНОЕ ОПУБЛИКОВАНИЕ
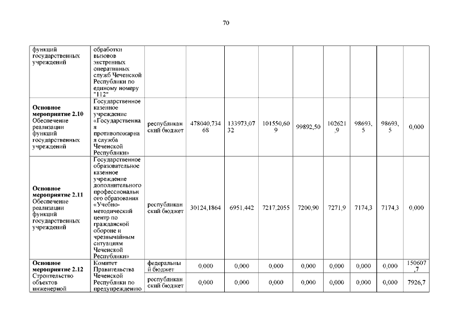
Постановление Правительства Чеченской Республики от 17.03.2022 № 50
"О внесении изменений в постановление Правительства Чеченской Республики от 19 декабря 2013 года № 344"
Номер опубликования: 2000202203250012
Дата опубликования: 25.03.2022
Страница №70 из 76:
Увеличить