Официальное опубликование правовых актов
ОФИЦИАЛЬНОЕ ОПУБЛИКОВАНИЕ
Постановление Правительства Чеченской Республики от 27.09.2022 № 226
"О внесении изменений в постановление Правительства Чеченской Республики от 19 декабря 2013 года № 344"
Номер опубликования: 2000202210040016
Дата опубликования: 04.10.2022
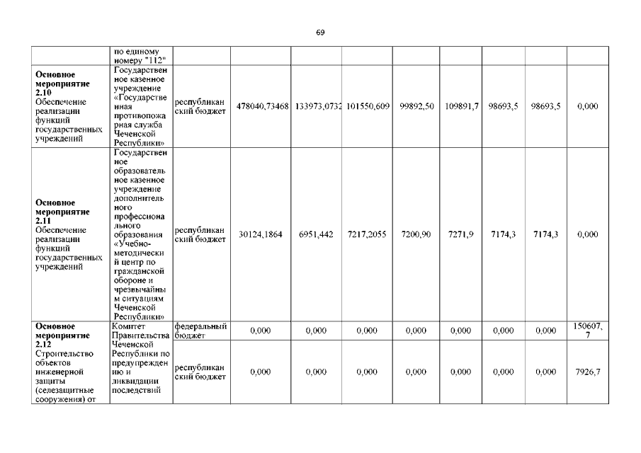
Страница №69 из 76:
Увеличить