Официальное опубликование правовых актов
ОФИЦИАЛЬНОЕ ОПУБЛИКОВАНИЕ
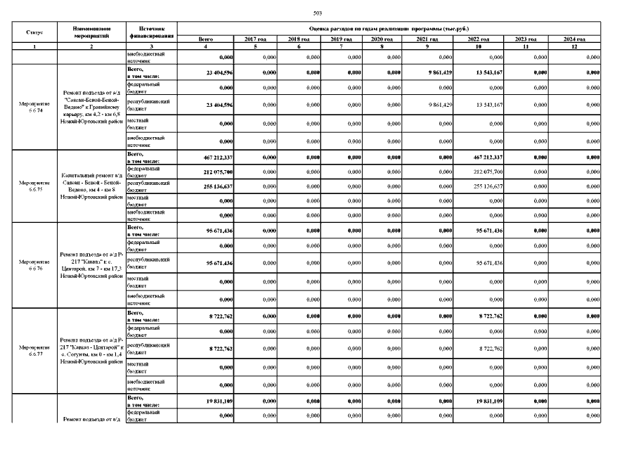
Постановление Правительства Чеченской Республики от 28.12.2022 № 336
"О внесении изменений в постановление Правительства Чеченской Республики от 4 апреля 2017 года № 77"
Номер опубликования: 2000202212310002
Дата опубликования: 31.12.2022
Страница №503 из 518:
Увеличить