Официальное опубликование правовых актов
ОФИЦИАЛЬНОЕ ОПУБЛИКОВАНИЕ
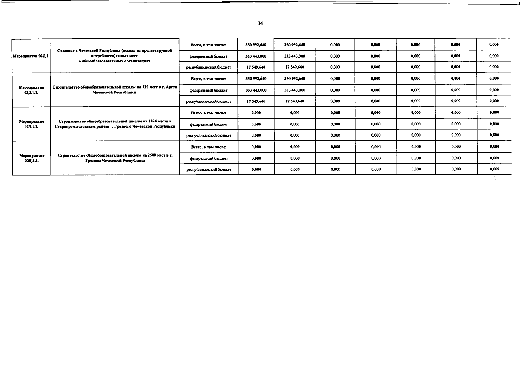
Постановление Правительства Чеченской Республики от 26.12.2023 № 363
"О внесении изменений в постановление Правительства Чеченской Республики от 17 августа 2020 года № 180"
Номер опубликования: 2000202312300040
Дата опубликования: 30.12.2023
Страница №34 из 52:
Увеличить