Официальное опубликование правовых актов
ОФИЦИАЛЬНОЕ ОПУБЛИКОВАНИЕ
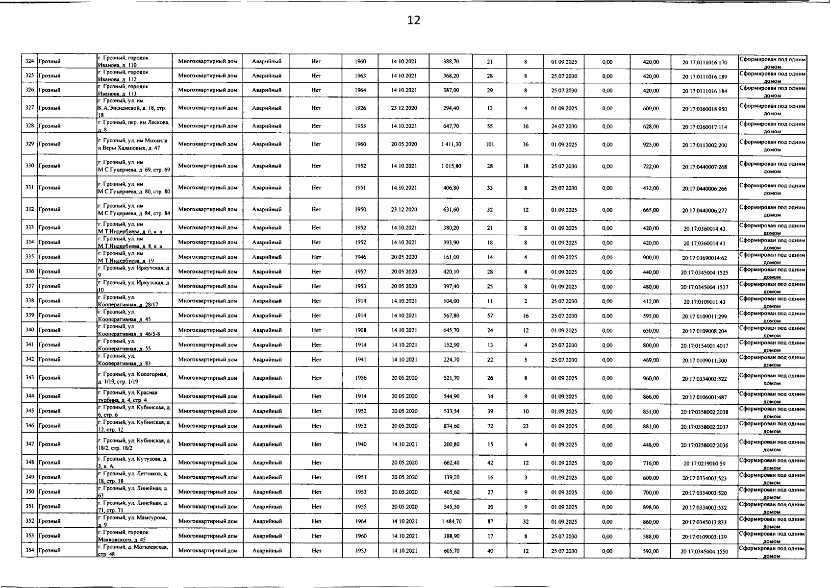
Постановление Правительства Чеченской Республики от 19.07.2024 № 148
"О внесении изменений в постановление Правительства Чеченской Республики от 26 декабря 2023 года № 335"
Номер опубликования: 2000202407260001
Дата опубликования: 26.07.2024
Страница №12 из 48:
Увеличить