Официальное опубликование правовых актов
ОФИЦИАЛЬНОЕ ОПУБЛИКОВАНИЕ
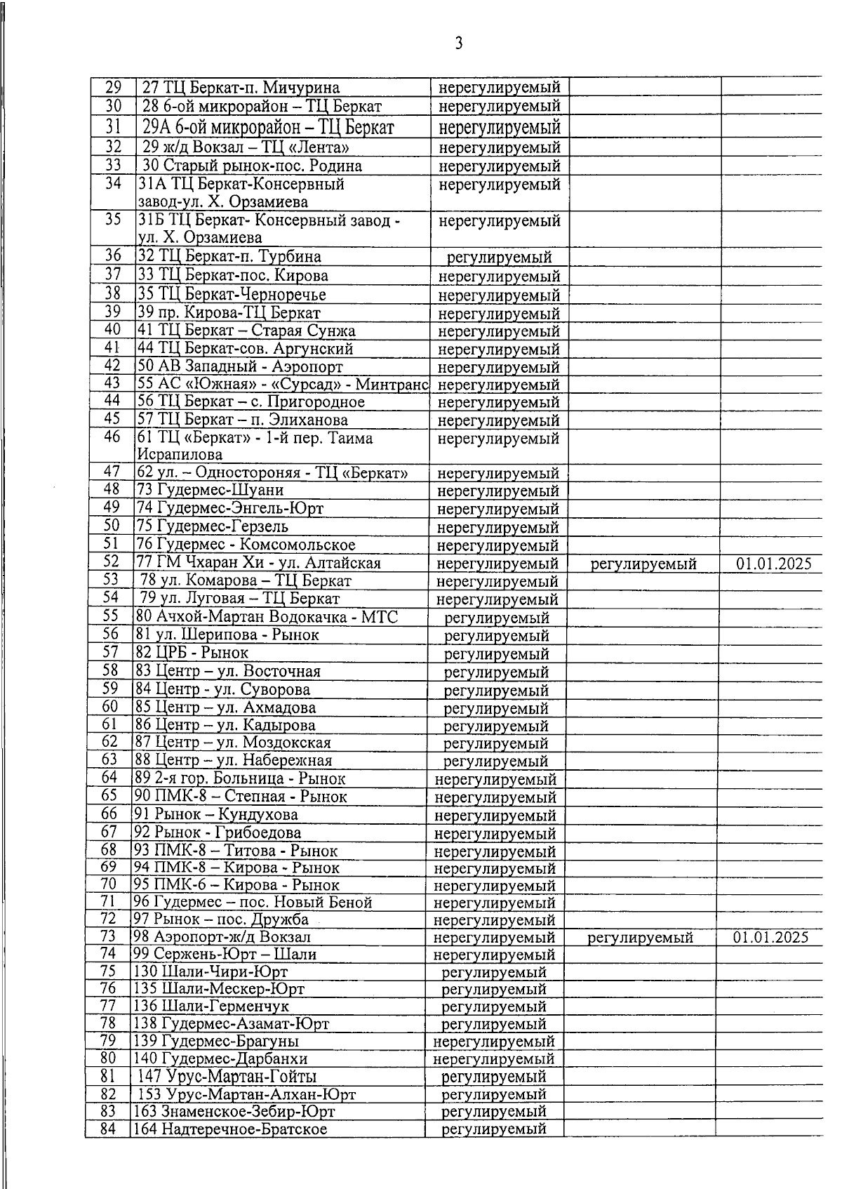
Постановление Правительства Чеченской Республики от 26.12.2024 № 353
"О внесении изменений в постановление Правительства Чеченской Республики от 15 июня 2023 года № 138"
Номер опубликования: 2000202412280002
Дата опубликования: 28.12.2024
Страница №3 из 10:
Увеличить