Официальное опубликование правовых актов
ОФИЦИАЛЬНОЕ ОПУБЛИКОВАНИЕ
Постановление Правительства Чеченской Республики от 26.12.2025 № 285
"О внесении изменения в постановление Правительства Чеченской Республики от 26 декабря 2024 года № 355"
Номер опубликования: 2000202512300021
Дата опубликования: 30.12.2025
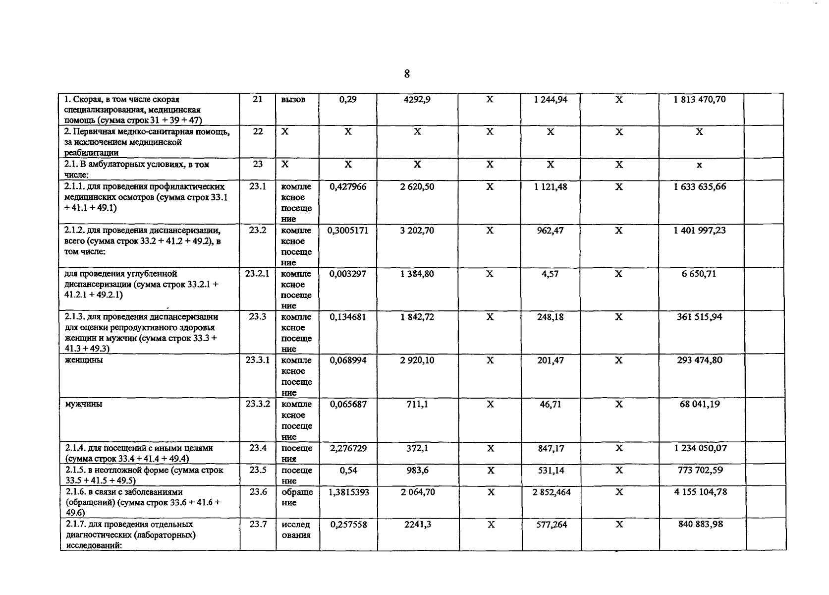
Страница №8 из 23:
Увеличить