Официальное опубликование правовых актов
ОФИЦИАЛЬНОЕ ОПУБЛИКОВАНИЕ
Постановление Правительства Чеченской Республики от 11.02.2026 № 4
"О внесении изменения в постановление Правительства Чеченской Республики от 4 февраля 2014 года № 18"
Номер опубликования: 2000202602180010
Дата опубликования: 18.02.2026
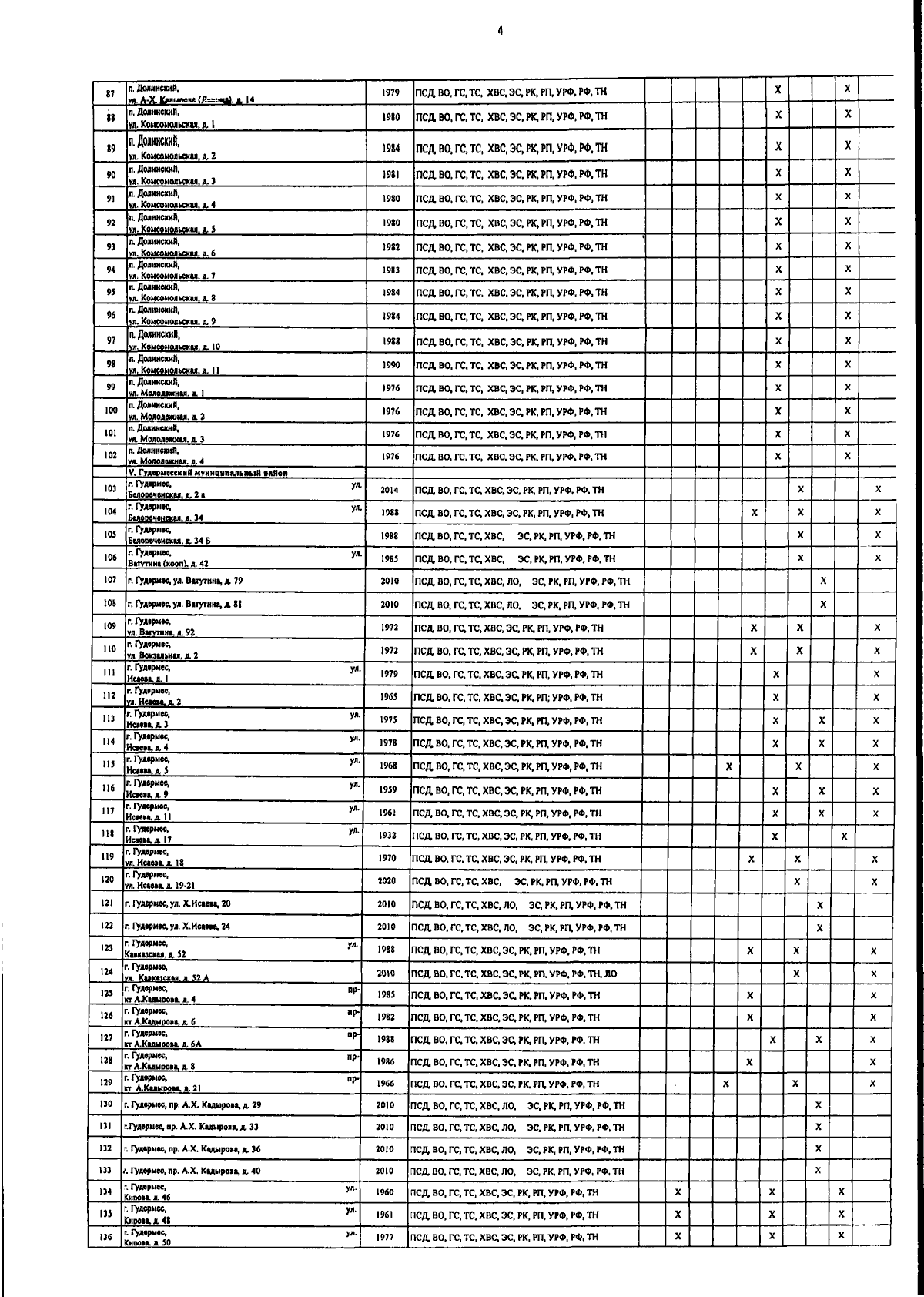
Страница №4 из 40:
Увеличить