Официальное опубликование правовых актов
ОФИЦИАЛЬНОЕ ОПУБЛИКОВАНИЕ
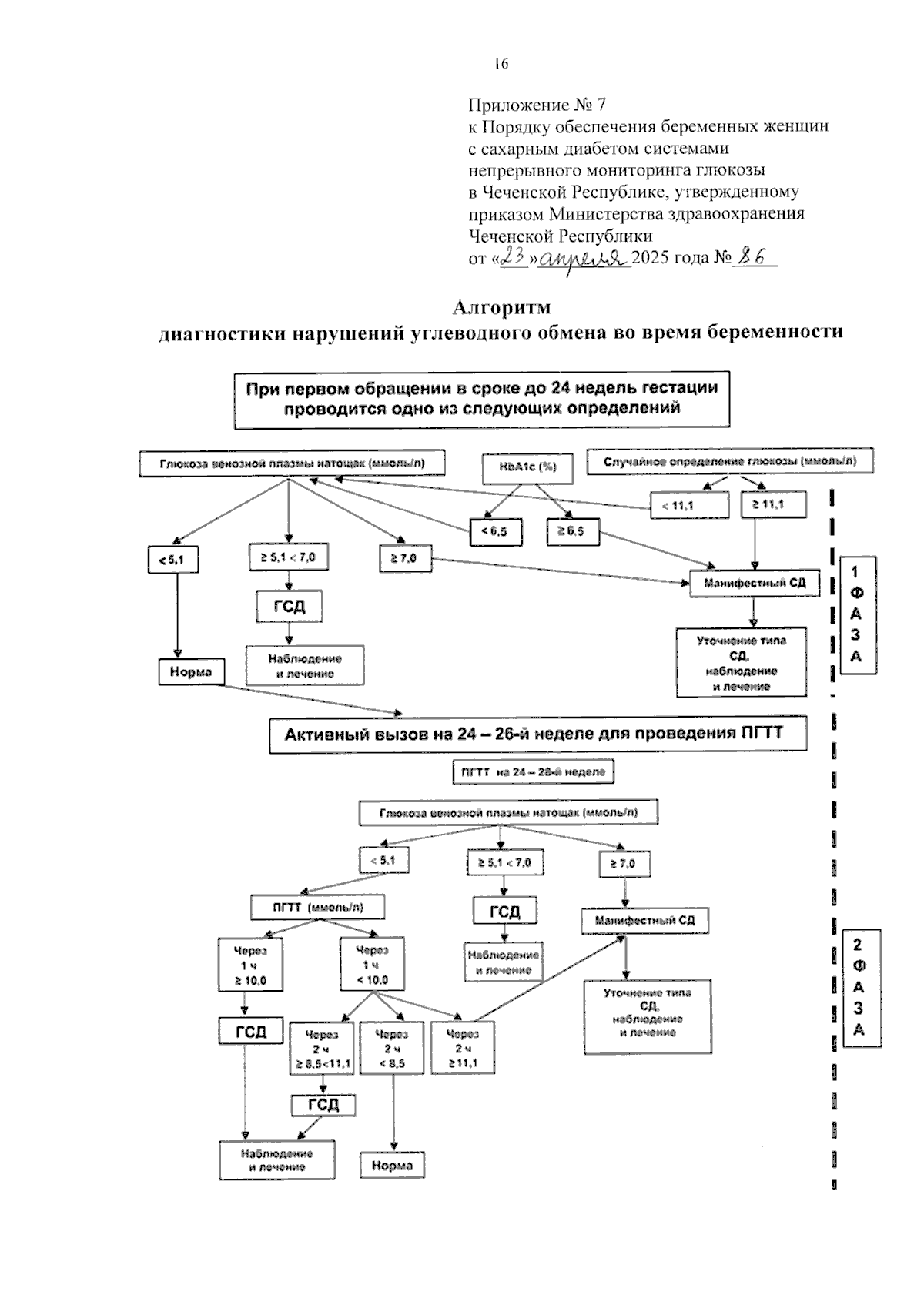
Приказ Министерства здравоохранения Чеченской Республики от 23.04.2025 № 86
"Об организации обеспечения беременных женщин с сахарным диабетом системами непрерывного мониторинга глюкозы в Чеченской Республике"
Номер опубликования: 2001202504290001
Дата опубликования: 29.04.2025
Страница №16 из 16:
Увеличить