Официальное опубликование правовых актов
ОФИЦИАЛЬНОЕ ОПУБЛИКОВАНИЕ
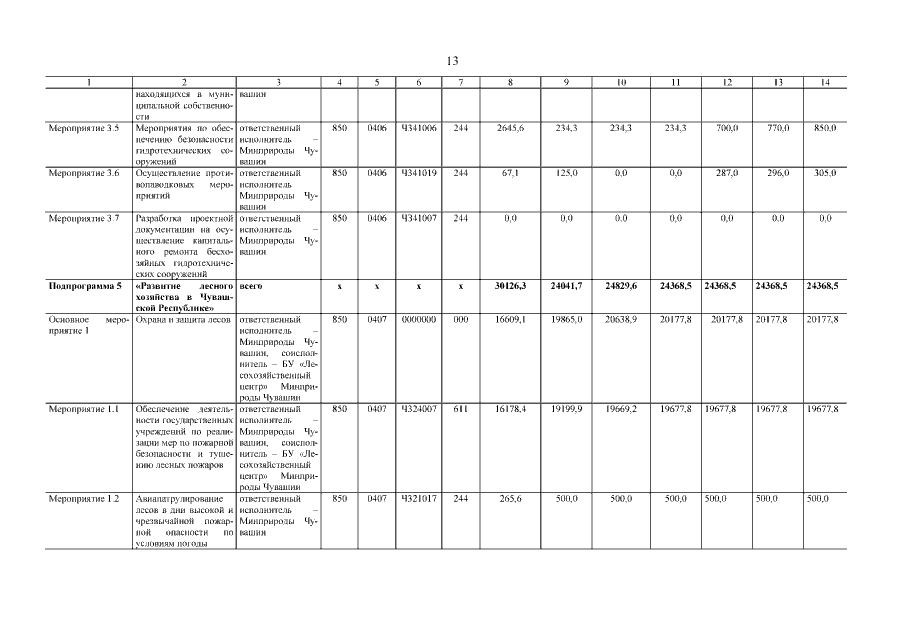
Постановление Кабинета Министров Чувашской Республики от 16.03.2015 № 80
"О внесении изменений в государственную программу Чувашской Республики "Развитие потенциала природно-сырьевых ресурсов и повышение экологической безопасности" на 2014–2020 годы"
Номер опубликования: 2100201503190001
Дата опубликования: 19.03.2015
Страница №14 из 88:
Увеличить