Официальное опубликование правовых актов
ОФИЦИАЛЬНОЕ ОПУБЛИКОВАНИЕ
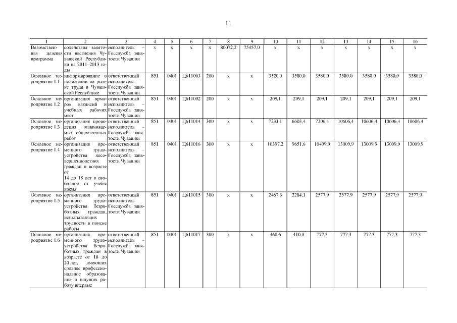
Постановление Кабинета Министров Чувашской Республики от 31.03.2015 № 103
"О внесении изменений в государственную программу Чувашской Республики "Содействие занятости населения" на 2012–2020 годы"
Номер опубликования: 2100201504080001
Дата опубликования: 08.04.2015
Страница №12 из 118:
Увеличить