Официальное опубликование правовых актов
ОФИЦИАЛЬНОЕ ОПУБЛИКОВАНИЕ
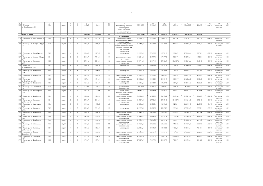
Постановление Кабинета Министров Чувашской Республики от 02.11.2016 № 444
"О внесении изменений в постановление Кабинета Министров Чувашской Республики от 23 октября 2015 г. № 373"
Номер опубликования: 2100201611070003
Дата опубликования: 07.11.2016
Страница №14 из 41:
Увеличить