Официальное опубликование правовых актов
ОФИЦИАЛЬНОЕ ОПУБЛИКОВАНИЕ
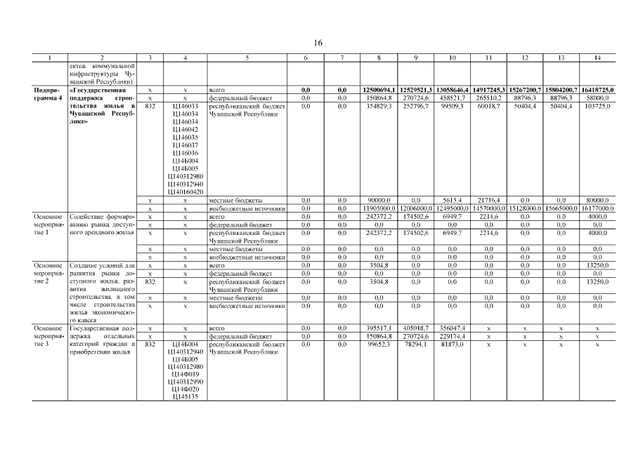
Постановление Кабинета Министров Чувашской Республики от 15.06.2017 № 237
"О внесении изменений в государственную программу Чувашской Республики "Развитие жилищного строительства и сферы жилищно-коммунального хозяйства"
Номер опубликования: 2100201706160002
Дата опубликования: 16.06.2017
Страница №17 из 94:
Увеличить