Официальное опубликование правовых актов
ОФИЦИАЛЬНОЕ ОПУБЛИКОВАНИЕ
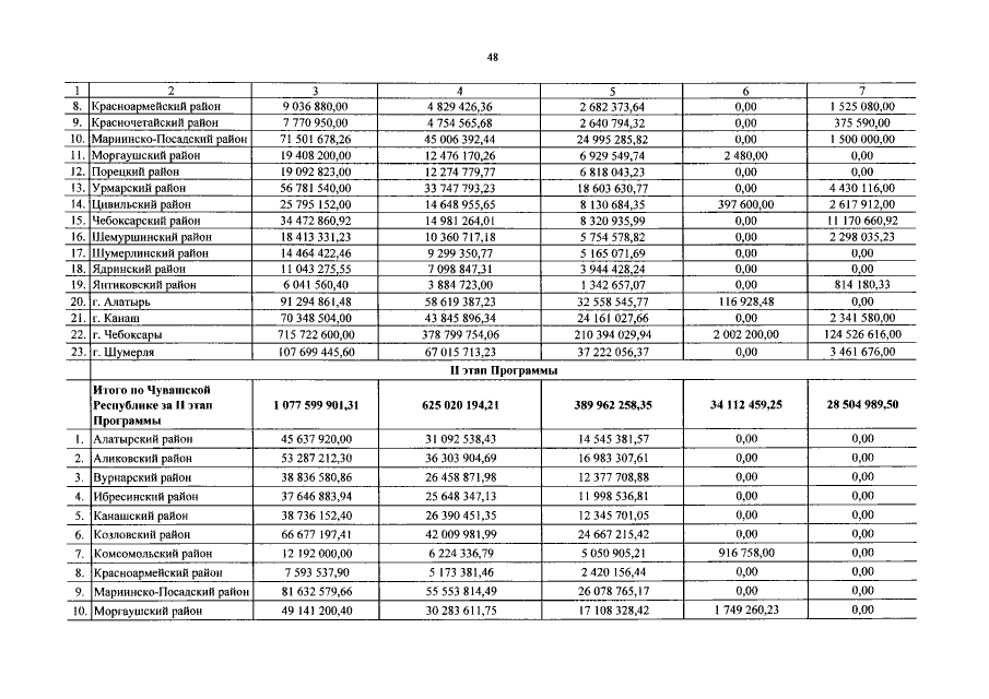
Постановление Кабинета Министров Чувашской Республики от 01.08.2017 № 300
"О внесении изменений в республиканскую адресную программу "Переселение граждан из аварийного жилищного фонда, расположенного на территории Чувашской Республики" на 2013–2017 годы"
Номер опубликования: 2100201708070001
Дата опубликования: 07.08.2017
Страница №49 из 51:
Увеличить