Официальное опубликование правовых актов
ОФИЦИАЛЬНОЕ ОПУБЛИКОВАНИЕ
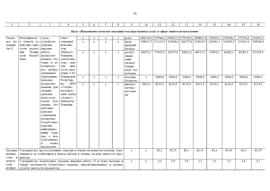
Постановление Кабинета Министров Чувашской Республики от 09.11.2017 № 449 "О внесении изменений в государственную программу Чувашской Республики "Содействие занятости населения"
Номер опубликования: 2100201711100006
Дата опубликования: 10.11.2017
Страница №32 из 105:
Увеличить