Официальное опубликование правовых актов
ОФИЦИАЛЬНОЕ ОПУБЛИКОВАНИЕ
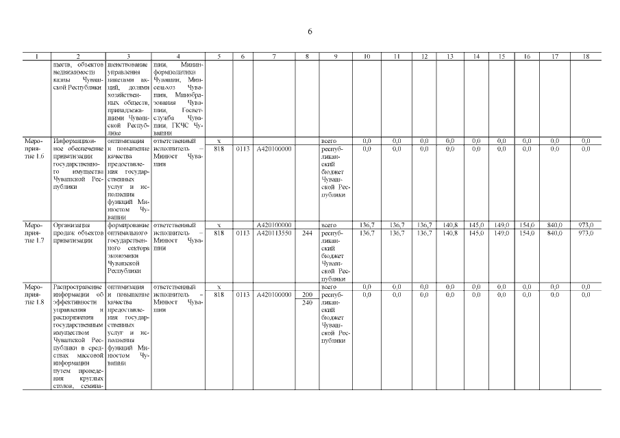
Постановление Кабинета Министров Чувашской Республики от 14.09.2018 № 366
"О государственной программе Чувашской Республики "Развитие земельных и имущественных отношений"
Номер опубликования: 2100201809190001
Дата опубликования: 19.09.2018
Страница №63 из 69:
Увеличить