Официальное опубликование правовых актов
ОФИЦИАЛЬНОЕ ОПУБЛИКОВАНИЕ
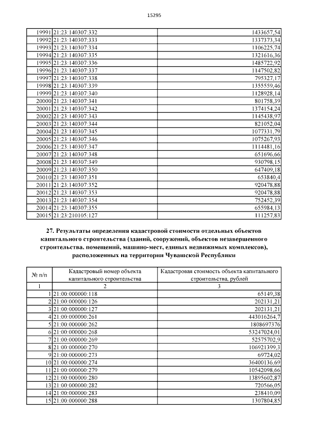
Постановление Кабинета Министров Чувашской Республики от 14.11.2018 № 457
"Об утверждении результатов определения кадастровой стоимости объектов недвижимости на территории Чувашской Республики"
Номер опубликования: 2100201811220001
Дата опубликования: 22.11.2018
Страница №15296 из 15449:
Увеличить