Официальное опубликование правовых актов
ОФИЦИАЛЬНОЕ ОПУБЛИКОВАНИЕ
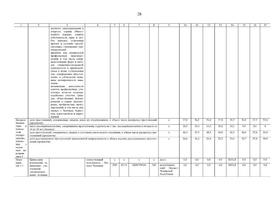
Постановление Кабинета Министров Чувашской Республики от 18.12.2018 № 524
"О внесении изменений в государственную программу Чувашской Республики "Повышение безопасности жизнедеятельности населения и территорий Чувашской Республики"
Номер опубликования: 2100201812190007
Дата опубликования: 19.12.2018
Страница №29 из 40:
Увеличить