Официальное опубликование правовых актов
ОФИЦИАЛЬНОЕ ОПУБЛИКОВАНИЕ
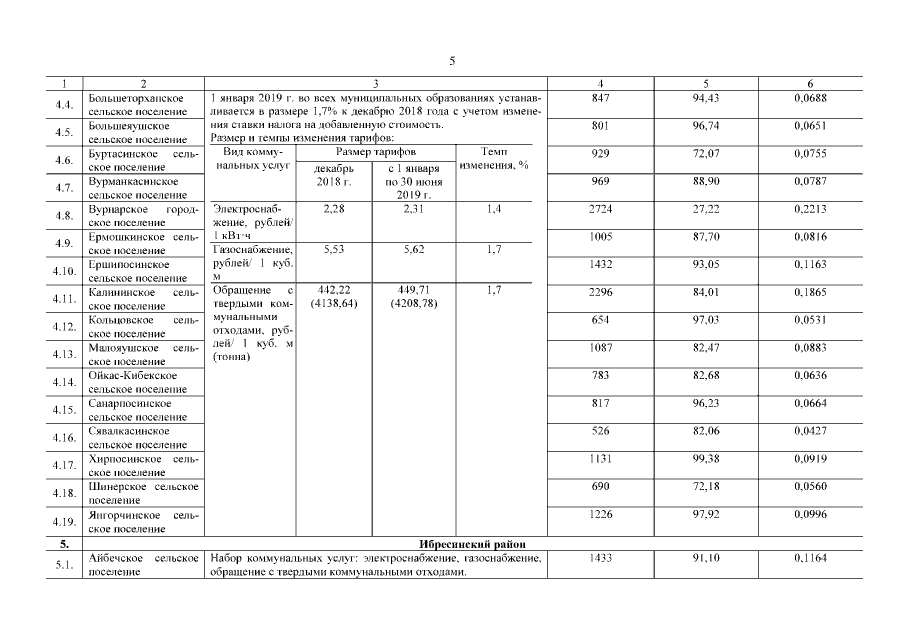
Указ Главы Чувашской Республики от 15.12.2018 № 149
"О предельных (максимальных) индексах изменения размера вносимой гражданами платы за коммунальные услуги в муниципальных образованиях Чувашской Республики"
Номер опубликования: 2100201812190008
Дата опубликования: 19.12.2018
Страница №44 из 223:
Увеличить