Официальное опубликование правовых актов
ОФИЦИАЛЬНОЕ ОПУБЛИКОВАНИЕ
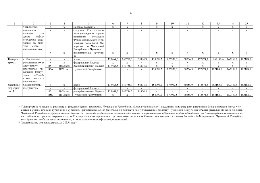
Постановление Кабинета Министров Чувашской Республики от 26.12.2018 № 561 "О внесении изменений в государственную программу Чувашской Республики "Содействие занятости населения"
Номер опубликования: 2100201812280005
Дата опубликования: 28.12.2018
Страница №15 из 79:
Увеличить