Официальное опубликование правовых актов
ОФИЦИАЛЬНОЕ ОПУБЛИКОВАНИЕ
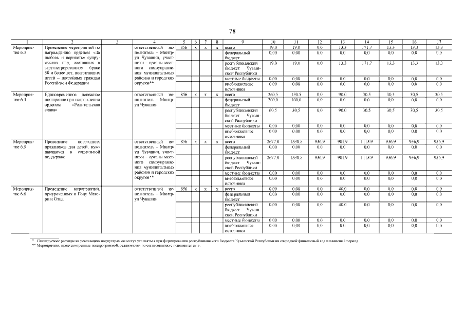
Постановление Кабинета Министров Чувашской Республики от 28.12.2018 № 575 "О внесении изменений в государственную программу Чувашской Республики "Социальная поддержка граждан"
Номер опубликования: 2100201812290004
Дата опубликования: 29.12.2018
Страница №79 из 96:
Увеличить