Официальное опубликование правовых актов
ОФИЦИАЛЬНОЕ ОПУБЛИКОВАНИЕ
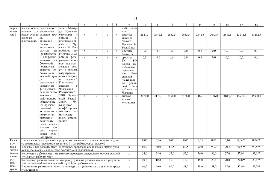
Постановление Кабинета Министров Чувашской Республики от 14.02.2019 № 39 "О внесении изменений в государственную программу Чувашской Республики "Содействие занятости населения"
Номер опубликования: 2100201902200019
Дата опубликования: 20.02.2019
Страница №52 из 78:
Увеличить