Официальное опубликование правовых актов
ОФИЦИАЛЬНОЕ ОПУБЛИКОВАНИЕ
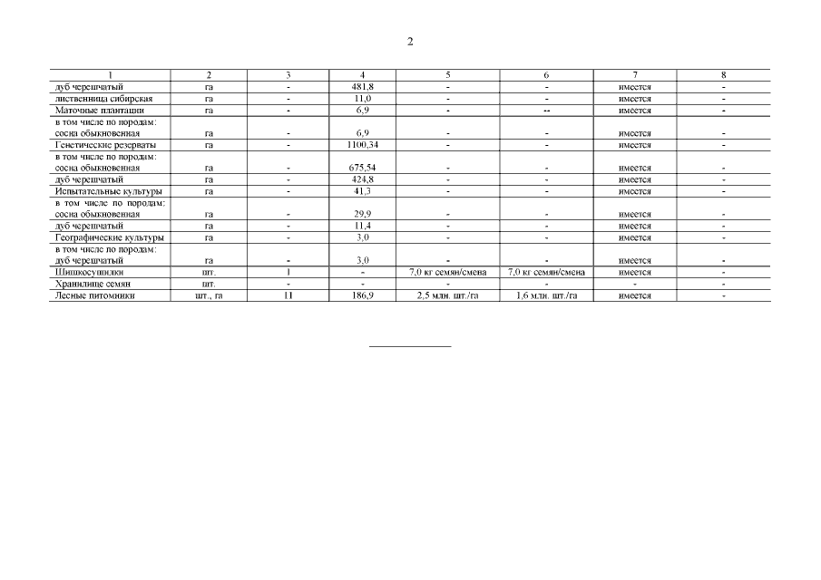
Указ Главы Чувашской Республики от 21.02.2019 № 15
"О Лесном плане Чувашской Республики"
Номер опубликования: 2100201902210001
Дата опубликования: 21.02.2019
Страница №170 из 198:
Увеличить