Официальное опубликование правовых актов
ОФИЦИАЛЬНОЕ ОПУБЛИКОВАНИЕ
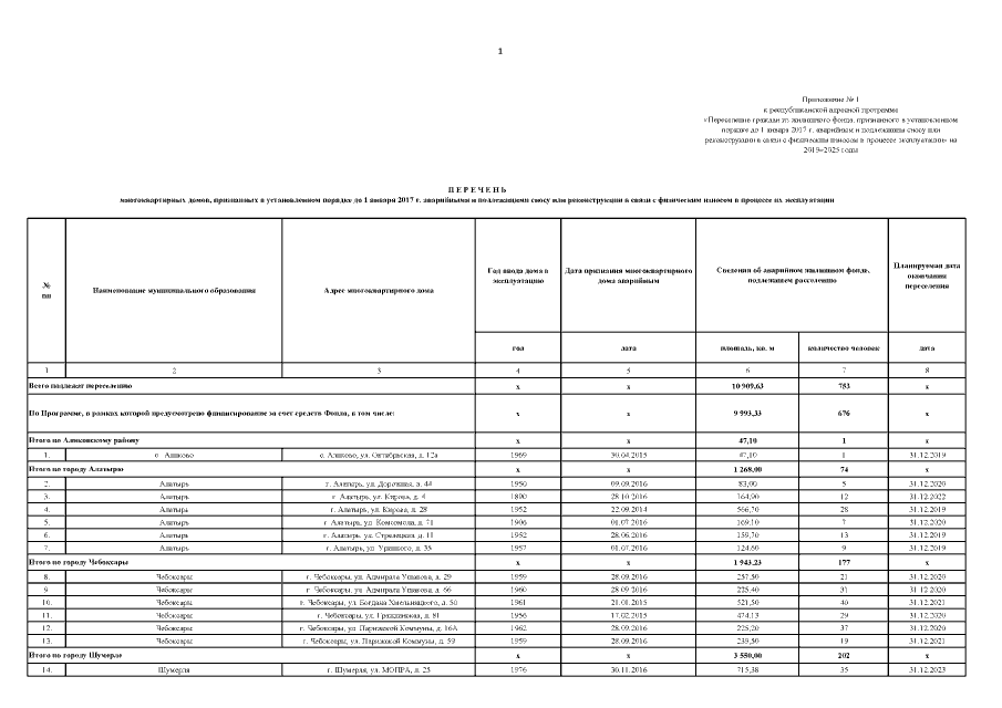
Постановление Кабинета Министров Чувашской Республики от 28.03.2019 № 92 "О республиканской адресной программе "Переселение граждан из жилищного фонда, признанного в установленном порядке до 1 января 2017 г. аварийным и подлежащим сносу или реконструкции в связи с физическим износом в процессе эксплуатации" на 2019–2025 годы"
Номер опубликования: 2100201904030001
Дата опубликования: 03.04.2019
Страница №23 из 27:
Увеличить