Официальное опубликование правовых актов
ОФИЦИАЛЬНОЕ ОПУБЛИКОВАНИЕ
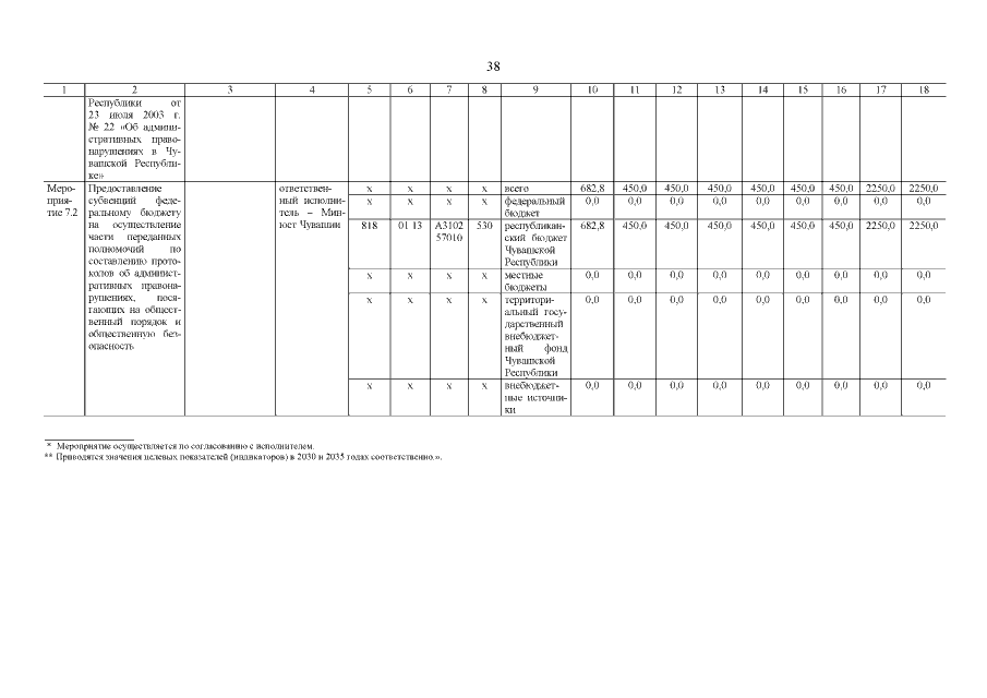
Постановление Кабинета Министров Чувашской Республики от 10.04.2019 № 104 "О внесении изменений в государственную программу Чувашской Республики "Обеспечение общественного порядка и противодействие преступности"
Номер опубликования: 2100201904150004
Дата опубликования: 15.04.2019
Страница №39 из 72:
Увеличить