Официальное опубликование правовых актов
ОФИЦИАЛЬНОЕ ОПУБЛИКОВАНИЕ
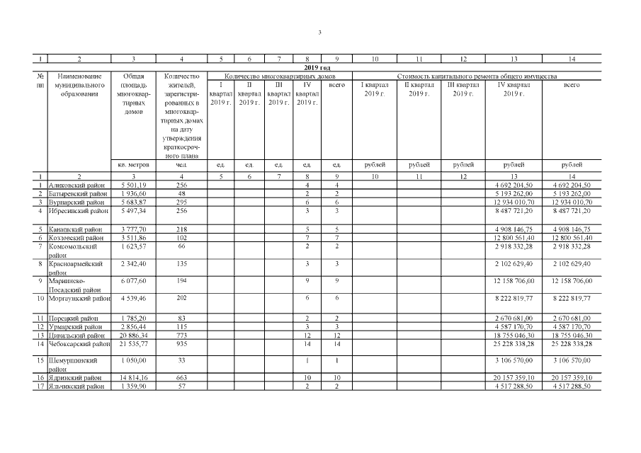
Постановление Кабинета Министров Чувашской Республики от 18.04.2019 № 115 "О внесении изменений в постановление Кабинета Министров Чувашской Республики от 25 октября 2017 г. № 429"
Номер опубликования: 2100201904220007
Дата опубликования: 22.04.2019
Страница №103 из 105:
Увеличить