Официальное опубликование правовых актов
ОФИЦИАЛЬНОЕ ОПУБЛИКОВАНИЕ
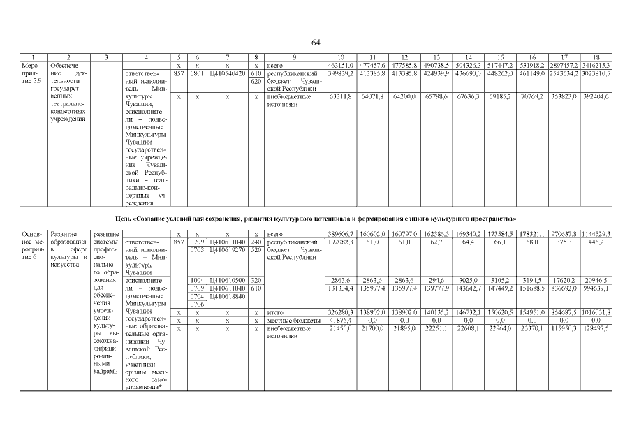
Постановление Кабинета Министров Чувашской Республики от 25.04.2019 № 138 "О внесении изменений в государственную программу Чувашской Республики "Развитие культуры и туризма"
Номер опубликования: 2100201904300014
Дата опубликования: 30.04.2019
Страница №65 из 126:
Увеличить