Официальное опубликование правовых актов
ОФИЦИАЛЬНОЕ ОПУБЛИКОВАНИЕ
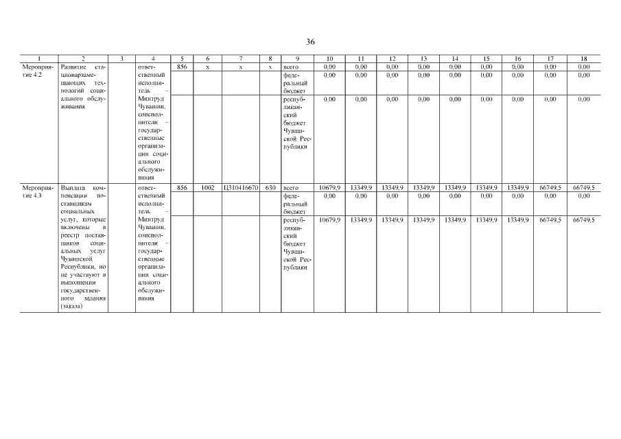
Постановление Кабинета Министров Чувашской Республики от 21.05.2019 № 154 "О внесении изменений в государственную программу Чувашской Республики "Социальная поддержка граждан"
Номер опубликования: 2100201905230005
Дата опубликования: 23.05.2019
Страница №37 из 65:
Увеличить