Официальное опубликование правовых актов
ОФИЦИАЛЬНОЕ ОПУБЛИКОВАНИЕ
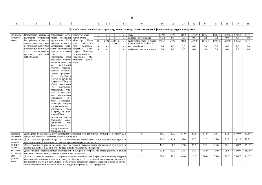
Постановление Кабинета Министров Чувашской Республики от 30.05.2019 № 181 "О внесении изменений в государственную программу Чувашской Республики "Развитие физической культуры и спорта"
Номер опубликования: 2100201906040003
Дата опубликования: 04.06.2019
Страница №17 из 44:
Увеличить