Официальное опубликование правовых актов
ОФИЦИАЛЬНОЕ ОПУБЛИКОВАНИЕ
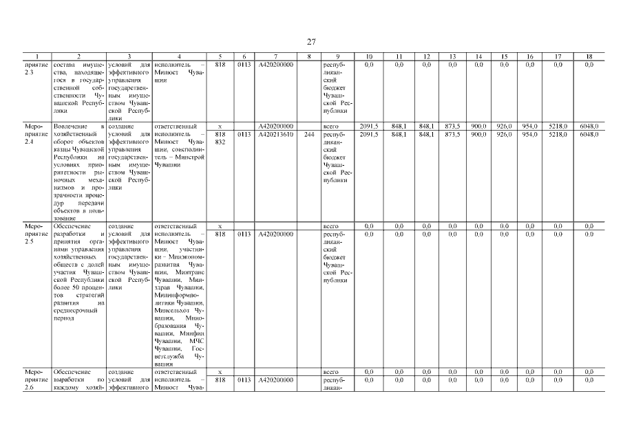
Постановление Кабинета Министров Чувашской Республики от 26.06.2019 № 255 "О внесении изменений в государственную программу Чувашской Республики "Развитие земельных и имущественных отношений"
Номер опубликования: 2100201906270020
Дата опубликования: 27.06.2019
Страница №28 из 31:
Увеличить