Официальное опубликование правовых актов
ОФИЦИАЛЬНОЕ ОПУБЛИКОВАНИЕ
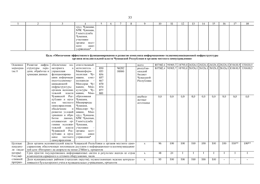
Постановление Кабинета Министров Чувашской Республики от 14.08.2019 № 338
"О внесении изменений в государственную программу Чувашской Республики "Цифровое общество Чувашии"
Номер опубликования: 2100201908150006
Дата опубликования: 15.08.2019
Страница №34 из 44:
Увеличить