Официальное опубликование правовых актов
ОФИЦИАЛЬНОЕ ОПУБЛИКОВАНИЕ
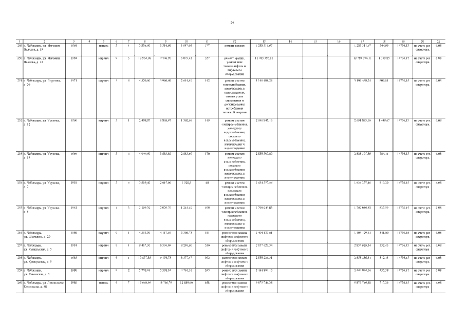
Постановление Кабинета Министров Чувашской Республики от 08.10.2019 № 400
"О внесении изменений в постановление Кабинета Министров Чувашской Республики от 5 декабря 2016 г. № 499"
Номер опубликования: 2100201910100004
Дата опубликования: 10.10.2019
Страница №26 из 43:
Увеличить